ЛАБОРАТОРНА РОБОТА № 8
Тема. Вимірювання поверхневого натягу рідини.
Мета: виміряти поверхневий натяг води методом відриву крапель.
Обладнання: штангенциркуль, медичний шприц об’ємом 2 мл без голки, зубочистка, склянка з дистильованою водою.
Хід роботи
Теоретичні відомості
У ході повільного витікання рідини з тонкої вертикальної трубки на кінці трубки утворюється крапля (див. рисунок). Відрив краплі відбувається в той момент, коли сила тяжіння зрівнюється із силою поверхневого натягу, що діє на краплю вздовж кола шийки краплі:
де: m0 – маса краплі; σ – поверхневий натяг рідини; l=πd – довжина кола (d – внутрішній діаметр трубки).
Масу краплі можна знайти за формулою:
де ρ – густина рідини; V – об’єм рідини, що витекла; N – кількість крапель.
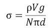
Отже, вимірявши внутрішній діаметр трубки d і порахувавши кількість N крапель, що утворилися під час витікання рідини об’ємом V, можна обчислити поверхневий натяг рідини:
Експеримент
Суворо дотримуйтесь інструкції з безпеки.
Результати вимірювань і обчислень відразу заносьте до таблиці.
1. Виміряйте діаметр вихідного отвору шприца.
2. Наберіть у шприц 2 мл води. Повільно натискаючи на поршень і рахуючи краплі, викапайте воду у склянку.
3. Повторіть дослід ще 3–4 рази.
Опрацювання результатів експерименту
1. За результатами дослідів знайдіть середню кількість крапель Nсер.
2. Обчисліть середнє значення поверхневого натягу води.
Аналіз експерименту та його результатів
Проаналізуйте експеримент і його результати. Сформулюйте висновок, у якому зазначте: 1) величину, яку ви вимірювали; 2) отриманий результат; 3) причини похибки; 4) чи здається вам запропонований спосіб зручним.
Висновок
________________________________________________________________________________________________________________________________________________________________________________________________________________________________________________________________________________________________________________________________________
Творче завдання
Запропонуйте експеримент щодо виявлення залежності поверхневого натягу рідини від температури рідини та від наявності в рідині домішок. Проведіть експерименти, зробіть висновок.





