Презентація до уроку
ЛАБОРАТОРНА РОБОТА № 3
Тема. Дослідження руху зв’язаних тіл.
Мета: визначити коефіцієнт тертя ковзання дерева по дереву.
Обладнання: лінійка, терези з тягарцями (або динамометр), секундомір, дерев’яна поверхня, дерев’яний брусок, нерухомий блок, важок масою 100 г, міцна нитка завдовжки 1,5–2 м.
Хід роботи
Підготовка до експерименту
1. Зберіть експериментальну установку (див. рис. 1).
2. Скориставшись формулою переміщення, доведіть: коли брусок 1 починає рух під дією тягарця 2, їх прискорення можна визначити за формулою:
3. Для кожного тіла запишіть рівняння другого закону Ньютона і, врахувавши, що
Суворо дотримуйтесь інструкції з безпеки. Результати вимірювань відразу заносьте до таблиці.
1. Виміряйте масу m1 бруска 1 та масу m2 тягарця 2.
2. Розташуйте брусок біля лівого краю трибометра й, утримуючи брусок, виміряйте відстань H від тягарця до підлоги (див. рис. 1).
3. Відпустить брусок і виміряйте час t, через який тягарець торкнеться підлоги. Не змінюючи початкового розташування зв’язаних тіл, повторіть дослід ще тричі.
Опрацювання результатів експерименту
1. Обчисліть середній час руху тягарця (tсер ).
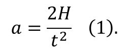
2. За формулою (1) визначте середнє прискорення руху тягарця (aсер ).
3. За формулою (2) визначте середнє значення коефіцієнта тертя ковзання.
4. Оцініть відносну похибку експерименту, порівнявши значення коефіцієнта тертя ковзання μсер дерева по дереву, отриманого в ході експерименту, з табличним значенням μтабл:
Аналіз експерименту та його результатів
Проаналізуйте експеримент і його результати. У висновку зазначте: 1) величину, яку ви вимірювали; 2) результат вимірювання; 3) причини похибки.
Висновок
___________________________________________________________________________________
___________________________________________________________________________________
___________________________________________________________________________________
___________________________________________________________________________________
___________________________________________________________________________________
___________________________________________________________________________________
___________________________________________________________________________________
Творче завдання
Запишіть план проведення експерименту щодо визначення прискорення вільного падіння з використанням установки, зображеної на рис. 2. За можливості проведіть експеримент.___________________________________________________________________
___________________________________________________________________
___________________________________________________________________
___________________________________________________________________
___________________________________________________________________
___________________________________________________________________________________
___________________________________________________________________________________
___________________________________________________________________________________






